平顺县物价委员会、平顺县商业局关于红糖实行平价敞开销售并调低高价白糖销售价格的通知(64)县物字第3
平顺县物价委员会、平顺县商业局关于调整菜牛牛肉购、销价格的通知(64)县物字第32号(64)县商物字
平顺县物价委员会、平顺县商业局关于调整高价自行车、手表价格并退出高价范围的通知(64)县物字第31号
平顺县物价委员会关于调整太原产有光纸市场销售价格的通知(64)县物字第31号
平顺县供销合作社关于下达旧塑料鞋与新塑料下脚的收购价格和结算价格的通知(64)县合业字第42号
平顺县对外贸易公司、平顺县教育局关于大力发动学生收购外贸物资的联合通知(19641210)县外字第1
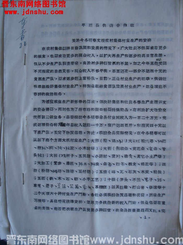
平顺县供销合作社关于今冬明春支援农村集体副业生产的安排(19641208)
平顺县供销合作社关于对农村集镇的合作商店、合作小组货源由基层社进货的通知(64)县合业字第41号
平顺县供销合作社转发省社“关于账务处理不符合财会制度如何退补税款通知”的通知(64)县合财字第30号
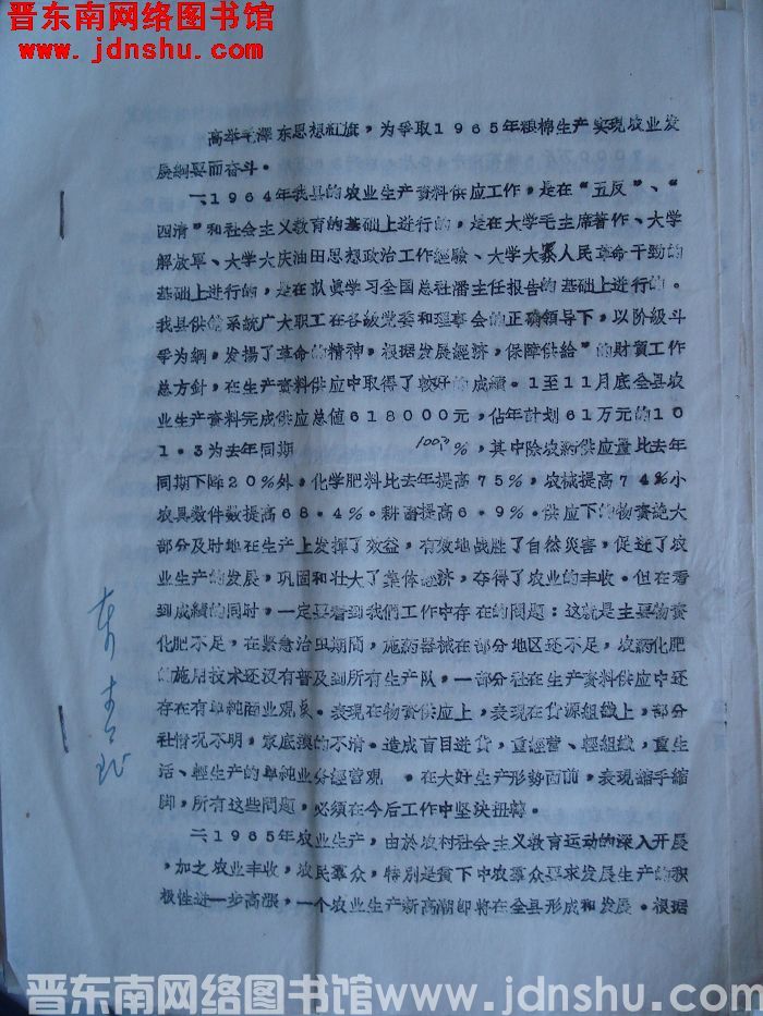
高举毛泽东思想红旗,为争取1965年粮棉生产实现农业发展纲要而奋斗(19641205)
平顺县物价委员会关于调整旧小平车、自行车外胎价格的通知(64)县物字第28号
平顺县物价委员会关于修订蜂蜜规格等级和降低蜂蜡收购价格的通知(64)县物字第29号